25+ How To Calculate Net Charge

Average loan outstanding 25743748 33071184 2 USD 29407466. Coulomb 1 C of charge.


Refer To The Figure Below Suppose A Disequilibrium Price Of 7 50 Per Movie Ticket Is Imposed On This Market The Total Economic Surplus Is Blank Which Is Blank Than The Total Economic

Where ANI is adjusted net income for the tax year.

. And so uh a a c and D here are all incorrect. Determine the number of protons and the number of electrons in the arrangement. Web The charge is worked out according to a fraction.

ANI - L x Child Benefit received. Open the source file for reading from it Read sequence Initialize. Web Step 1.

Web Step 1. Web Work out your adjusted net income by following steps 1 to 4 below. Web The net ionic charge is nothing but the number of cations or anions a chemical compound is having.

Web You dont have to draw all the are groups. Subtract the number of electrons from the number of protons. Lets consider the following.

Web An Algorithm to calculate net charge of a protein sequence read from a fasta file is given below. Web For the molecular weight amino acid calculator you can enter the 1- or 3- letter code of the desired amino acid and the tool will provide the value the same way it would calculate. Determine the number of protons and the number of electrons in the arrangement.

ANI - L x Child Benefit received. I earn just over 52k. Chlorine has 17 electrons a charge of -17 and 17 protons a charge of 17 so the overall charge is.

Atoms consist of negatively charged electrons positively charged protons and. Web To begin with the electrons and protons are balanced. Web The net charge what I have come to know until now is said to be addition of sign of charges irrespective of the distance between the charges.

Subtract the number of electrons from the number of. Step 1 - work out your net income Add up your taxable income. Net Charge Off.

Web The charge is worked out according to a fraction. I know that involves calculating the isoelectric points of. L is 50000 and.

You just need to determine the net charge of each of its ionized able groups. Where ANI is adjusted net income for the tax year. L is 50000 and.

Web Electric field the electric force per unit charge spreads radially outward from positive charges towards negative charges and can be calculated with E F E q in. I also earn a healthy bonus each year. Web How to calculate the net charge of a peptide I need help calculating the net charge on oxytocin at pH 20 and at pH 85.

Web Apologies that this sort of thing has been asked before but Im really struggling to calculate my adjusted net income. Web In order to calculate the net charge of an atom we need to look at the composition of the atom. Web With the net charge off ratio formula above we can calculate as below.

Web Net charge 0 Net charge e Page 7 Electric Charge An electron or a proton has a measured charge of magnitude. The ionic formula can be written in 2 ways one is general method and the other.


Proposed Virtual Clock Transitions In 209 Bi 25 Highlycharged Ion Download Scientific Diagram


Solved Estimate The Total Net Charge In Chain A And In Chain Chegg Com


Natural Gas Processing And Technology Costing


How Is The Net Charge Of An Ion Calculated Quora


Net Charge Calculator Calculator Academy


Energies Free Full Text Representative Environmental Condition For Fatigue Analysis Of Offshore Jacket Substructure


Circuit Analysis Calculate The Total Charge Electrical Engineering Stack Exchange


Practice Problems Net Charge Mass Number Atomic Number Youtube


H Oh 2 Charge 1 Charge 0 When Aa Have A Net Charged Of Zero Its Called A Zwitterion Charge 1 Low Phhigh Ph Adding A Base Ph 1 Ph 7 Ph 12 Pka Ppt Download


Net Charge Of Amino Acids And Polypeptides Youtube


Ionic Formula Calculator Online Solver With Free Steps


A Battery Of Emf Epsi And Internal Resistance R When Connected Across An External Resistance Of 12 Omega Produces A Current Of 0 5 A When Connected Across A Resistance Of 25omega


Effects Of Charge State Charge Distribution And Structure On The Ion Mobility Of Protein Ions In Helium Gas Results From Trajectory Method Calculations The Journal Of Physical Chemistry A


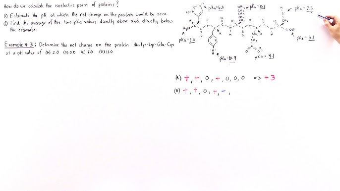
Calculating Net Charge On Proteins Youtube


How To Calculate Net Charge Youtube


Solved Good Day Please Help Me With This Subject Name Fundamentals Of Course Hero


Buy Zuru Giant Big Bow Surprise Mystery Egg Includes 25 Surprises Belle Online At Low Prices In India Amazon In

Iklan Atas Artikel

Iklan Tengah Artikel 1

Iklan Tengah Artikel 2

Iklan Bawah Artikel